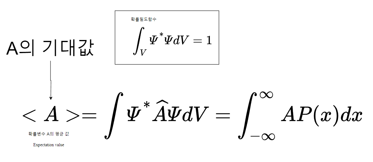
Notice
Recent Posts
Recent Comments
Link
| 일 | 월 | 화 | 수 | 목 | 금 | 토 |
|---|---|---|---|---|---|---|
| 1 | ||||||
| 2 | 3 | 4 | 5 | 6 | 7 | 8 |
| 9 | 10 | 11 | 12 | 13 | 14 | 15 |
| 16 | 17 | 18 | 19 | 20 | 21 | 22 |
| 23 | 24 | 25 | 26 | 27 | 28 | 29 |
| 30 |
Tags
- realtimerendering
- LIDAR
- imageprocessing
- roslaunch
- rostopics
- vectorcalculus
- covariancematrix
- usbcamera
- gaussiansplatting
- rospackages
- opencv
- Slam
- differentiablerendering
- vectorfields
- electromagnetism
- 3dgaussiansplatting
- turtlebot3
- NERF
- raspberrypi
- alphablending
- pointcloud
- tilebasedrasterizer
- Ros
- adaptivedensitycontrol
- ComputerVision
- 3dmapping
- catkinworkspace
- sensorfusion
- turtlebot
- rosnoetic
Archives
- Today
- Total

















